• hxonews.gr
  • Ακούστε ζωντανά
Hxo news
  • WEB TV
  • Λασίθι  
    • Ιεράπετρα
    • Σητεία
    • Άγιος Νικόλαος
    ΙΕΡΑΠΕΤΡΑ
    ΙΕΡΑΠΕΤΡΑ, ΠΛΑΚΙΩΤΑΚΗΣ, ΔΗΜΑΡΧΟΣ ΙΕΡΑΠΕΤΡΑΣ, ΕΓΚΑΙΝΙΑ , ΓΕΩΤΡΗΣΗ, ΤΟΕΒ ΙΕΡΑΠΕΤΡΑΣ, ΜΥΘΟΙ ΙΕΡΑΠΕΤΡΑΣ

    Με κάθε επισημότητα τα εγκαίνια της μεγαλύτερης γεώτρησης στην Ελλάδα στους Μύθους

    06:12 μ.μ. - 15/11/2025
    ΙΕΡΑΠΕΤΡΑ
    ΙΕΡΑΠΕΤΡΑ, ΑΝΑΚΥΚΛΩΣΗ, ΚΗΠΕΥΤΙΚΑ , ΣΥΣΚΕΥΑΣΙΕΣ ΦΥΤΟΦΑΡΜΑΚΩΝ, ΣΠΥΡΙΔΑΚΗ ΠΑΣΟΚ

    Τέλος στη δεκαετία αδράνειας: Μετά τις παρεμβάσεις της Κ. Σπυριδάκη θεσπίζεται το πρώτο εθνικό σύστημα ανακύκλωσης φυτοπροστατευτικών συσκευασιών

    11:26 π.μ. - 14/11/2025
    ΙΕΡΑΠΕΤΡΑ
    ΔΗΜΑΡΧΟΣ ΙΕΡΑΠΕΤΡΑΣ, ΜΥΡΤΟΣ, ΣΥΝΑΝΤΗΣΗ ΦΟΡΕΩΝ

    Συνάντηση Δημάρχου Ιεράπετρας με φορείς του Μύρτου για αναπτυξιακά έργα και βελτίωση της καθημερινότητας

    11:21 π.μ. - 14/11/2025
    ΙΕΡΑΠΕΤΡΑ
    ΙΕΡΑΠΕΤΡΑ, ΠΑΠΑΔΑΚΗΣ, ΕΛΑΙΟΥΡΓΕΙΟ, ΕΛΑΙΟΚΟΜΙΚΗ ΠΕΡΙΟΔΟΣ

    Παπαδάκης: «Χαμένη ελαιοκομική χρονιά – Γλοιοσπόριο, ζέστες και έλλειψη νερού χτυπούν ποιότητα και παραγωγή»

    11:04 π.μ. - 14/11/2025
  • ΚΡΗΤΗ
  • Agro Νέα  
    • Τιμές
    ΙΕΡΑΠΕΤΡΑ
    ΙΕΡΑΠΕΤΡΑ, ΠΛΑΚΙΩΤΑΚΗΣ, ΔΗΜΑΡΧΟΣ ΙΕΡΑΠΕΤΡΑΣ, ΕΓΚΑΙΝΙΑ , ΓΕΩΤΡΗΣΗ, ΤΟΕΒ ΙΕΡΑΠΕΤΡΑΣ, ΜΥΘΟΙ ΙΕΡΑΠΕΤΡΑΣ

    Με κάθε επισημότητα τα εγκαίνια της μεγαλύτερης γεώτρησης στην Ελλάδα στους Μύθους

    06:12 μ.μ. - 15/11/2025
    ΙΕΡΑΠΕΤΡΑ
    ΙΕΡΑΠΕΤΡΑ, ΑΝΑΚΥΚΛΩΣΗ, ΚΗΠΕΥΤΙΚΑ , ΣΥΣΚΕΥΑΣΙΕΣ ΦΥΤΟΦΑΡΜΑΚΩΝ, ΣΠΥΡΙΔΑΚΗ ΠΑΣΟΚ

    Τέλος στη δεκαετία αδράνειας: Μετά τις παρεμβάσεις της Κ. Σπυριδάκη θεσπίζεται το πρώτο εθνικό σύστημα ανακύκλωσης φυτοπροστατευτικών συσκευασιών

    11:26 π.μ. - 14/11/2025
    ΙΕΡΑΠΕΤΡΑ
    ΙΕΡΑΠΕΤΡΑ, ΠΑΠΑΔΑΚΗΣ, ΕΛΑΙΟΥΡΓΕΙΟ, ΕΛΑΙΟΚΟΜΙΚΗ ΠΕΡΙΟΔΟΣ

    Παπαδάκης: «Χαμένη ελαιοκομική χρονιά – Γλοιοσπόριο, ζέστες και έλλειψη νερού χτυπούν ποιότητα και παραγωγή»

    11:04 π.μ. - 14/11/2025
    ΠΟΛΙΤΙΚΗ
    ΚΗΠΕΥΤΙΚΑ , ΠΑΠΑΔΑΚΗΣ, ΣΥΝΕΤΑΙΡΙΣΜΟΣ, ΨΑΡΗ ΦΟΡΑΔΑ , ΑΓΓΟΥΡΙ, ΙΕΡΑΠΕΤΡΙΤΙΚΗ ΓΗ

    Η Ψαρή Φοράδα πρότυπο συλλογικής επιτυχίας – Δυναμική πορεία και εξωστρέφεια στις ευρωπαϊκές αγορές

    01:18 μ.μ. - 13/11/2025
  • ΕΝΟΤΗΤΕΣ  
    • Ιεραπετρίτικη Γη
    • Πίσω σελίδες
    • Καλημέρα Λασίθι
    • Όλα στη φόρα
    • Δίκοπη Ζωή
    • Ανοιχτοί Ορίζοντες
    • Διάλογοι στον 21ο αιώνα
    ΙΕΡΑΠΕΤΡΑ
    ΣΤΑΡΑΚΗ, ΗΓΕΣΙΑ, ΑΝΟΙΧΤΟΙ ΟΡΙΖΟΝΤΕΣ, COACHING, ΠΑΣΧΙΔΟΥ, ΑΝΘΡΩΠΟΚΕΝΤΡΙΚΗ ΠΡΟΣΕΓΓΙΣΗ

    Coaching και ηγεσία με ανθρωποκεντρική προσέγγιση – Συνέντευξη με την Άννα-Φωτεινή Πασχίδου

    09:21 π.μ. - 09/10/2025
    ΙΕΡΑΠΕΤΡΑ
    ΦΥΤΟΠΡΟΣΤΑΣΙΑ, ΔΕΛΗΜΠΑΛΤΑΔΑΚΗΣ, SYNGENTA HELLAS, ΙΕΡΑΠΕΤΡΙΤΙΚΗ ΓΗ

    Μ. Δελημπαλταδάκης: «Η ολοκληρωμένη φυτοπροστασία κλειδί για βιώσιμες καλλιέργειες»

    12:48 μ.μ. - 03/10/2025
    ΙΕΡΑΠΕΤΡΑ
    ΙΕΡΑΠΕΤΡΑ, ΣΤΑΡΑΚΗ, ΑΝΟΙΧΤΟΙ ΟΡΙΖΟΝΤΕΣ, COACHING

    "Ανοιχτοί Ορίζοντες" με την Ελένη Σταράκη: Γιατί κάποιοι εργαζόμενοί σας δεν βελτιώνονται όσο κι αν επιμένετε;

    12:48 μ.μ. - 01/10/2025
    ΙΕΡΑΠΕΤΡΑ
    ΠΡΕΜΙΕΡΑ, ΗΧΩ 99,8, ΙΕΡΑΠΕΤΡΙΤΙΚΗ ΓΗ

    "Ιεραπετρίτικη Γη" | Πρεμιέρα αύριο Πέμπτη για την αγροτική εκπομπή του Ηχώ 99,8 στις 11:00!

    12:23 μ.μ. - 01/10/2025
  • ΕΚΛΟΓΕΣ
  • ΑΓΓΕΛΙΕΣ
  • ΤΙΜΕΣ
  • 18 ℃
  • ΛΑΣΙΘΙ
    • ΙΕΡΑΠΕΤΡΑ
    • ΑΓΙΟΣ ΝΙΚΟΛΑΟΣ
    • ΣΗΤΕΙΑ
  • ΚΡΗΤΗ
  • AGROΝΕΑ
    • ΤΙΜΕΣ
  • ΕΝΟΤΗΤΕΣ
    • ΑΘΛΗΤΙΚΑ
    • ΠΟΛΙΤΙΚΗ
    • ΟΙΚΟΝΟΜΙΑ
    • ΚΟΙΝΩΝΙΑ
    • ΤΟΥΡΙΣΜΟΣ
  • ΑΠΟΨΕΙΣ
  • ΑΓΓΕΛΙΕΣ
  • CULTURE STORIES
  • WEB TV
  • ΕΚΛΟΓΕΣ 2019
  • ΕΚΛΟΓΕΣ 2023
  • ΕΚΠΟΜΠΕΣ
    • ΟΛΑ ΣΤΗ ΦΟΡΑ
    • ΔΙΚΟΠΗ ΖΩΗ
    • ΠΙΣΩ ΣΕΛΙΔΕΣ
    • ΙΕΡΑΠΕΤΡΙΤΙΚΗ ΓΗ
    • ΚΑΛΗΜΕΡΑ ΛΑΣΙΘΙ
    • ΑΝΟΙΧΤΟΙ ΟΡΙΖΟΝΤΕΣ
    • ΔΙΑΛΟΓΟΙ ΣΤΟΝ 21Ο ΑΙΩΝΑ

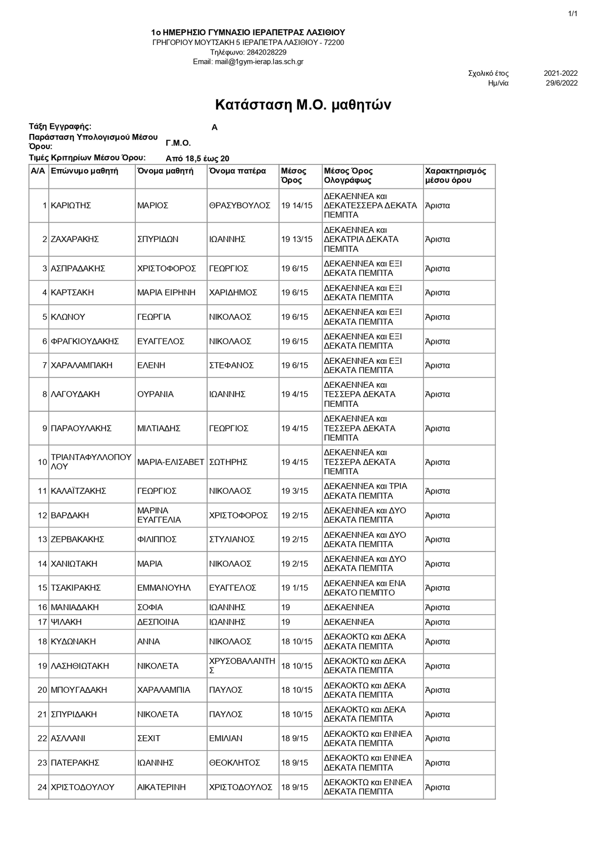
Οι αριστεύσαντες του 1ου Γυμνασίου Ιεράπετρας

ΛΑΣΙΘΙ
ΙΕΡΑΠΕΤΡΑ
12:04 μ.μ. - Τετάρτη, 29 Ιουνίου 2022
12:06 μ.μ. - Τετ, 29/04/2022
ΙΕΡΑΠΕΤΡΑ, 1Ο ΓΥΜΝΑΣΙΟ , ΑΡΙΣΤΕΙΑ
Image: Οι αριστεύσαντες του 1ου Γυμνασίου Ιεράπετρας

Δείτε εδώ αναλυτικά τους πίνακες

hxonews
hxonews
hxonews
ΙΕΡΑΠΕΤΡΑ
06:12 μ.μ. - 15/11/2025

Με κάθε επισημότητα τα εγκαίνια της μεγαλύτερης γεώτρησης στην Ελλάδα στους Μύθους

ΙΕΡΑΠΕΤΡΑ, ΠΛΑΚΙΩΤΑΚΗΣ, ΔΗΜΑΡΧΟΣ ΙΕΡΑΠΕΤΡΑΣ, ΕΓΚΑΙΝΙΑ , ΓΕΩΤΡΗΣΗ, ΤΟΕΒ ΙΕΡΑΠΕΤΡΑΣ, ΜΥΘΟΙ ΙΕΡΑΠΕΤΡΑΣ

Με παροχή 600 κ.μ./ώρα και πλήρη χρηματοδότηση από τους αγρότες, το έργο–ορόσημο του ΤΟΕΒ Ιεράπετρας ενισχύει στρατηγικά το φράγμα Μπραμιανών

ΙΕΡΑΠΕΤΡΑ
11:26 π.μ. - 14/11/2025

Τέλος στη δεκαετία αδράνειας: Μετά τις παρεμβάσεις της Κ. Σπυριδάκη θεσπίζεται το πρώτο εθνικό σύστημα ανακύκλωσης φυτοπροστατευτικών συσκευασιών

ΙΕΡΑΠΕΤΡΑ, ΑΝΑΚΥΚΛΩΣΗ, ΚΗΠΕΥΤΙΚΑ , ΣΥΣΚΕΥΑΣΙΕΣ ΦΥΤΟΦΑΡΜΑΚΩΝ, ΣΠΥΡΙΔΑΚΗ ΠΑΣΟΚ

Η νέα ΚΥΑ του ΥΠΕΝ και του ΥΠΑΑΤ καλύπτει το θεσμικό κενό έντεκα ετών, καθιστά υποχρεωτική τη συλλογή και ανακύκλωση των κενών συσκευασιών φυτοπροστατευτικών πρ...

ΙΕΡΑΠΕΤΡΑ
11:21 π.μ. - 14/11/2025

Συνάντηση Δημάρχου Ιεράπετρας με φορείς του Μύρτου για αναπτυξιακά έργα και βελτίωση της καθημερινότητας

ΔΗΜΑΡΧΟΣ ΙΕΡΑΠΕΤΡΑΣ, ΜΥΡΤΟΣ, ΣΥΝΑΝΤΗΣΗ ΦΟΡΕΩΝ

Ο Εμμανουήλ Φραγκούλης και εκπρόσωποι της Κοινότητας και των τοπικών συλλόγων συζήτησαν παρεμβάσεις για το αλιευτικό καταφύγιο, το οδικό δίκτυο, την καθαριότητα...

ΙΕΡΑΠΕΤΡΑ
11:04 π.μ. - 14/11/2025

Παπαδάκης: «Χαμένη ελαιοκομική χρονιά – Γλοιοσπόριο, ζέστες και έλλειψη νερού χτυπούν ποιότητα και παραγωγή»

ΙΕΡΑΠΕΤΡΑ, ΠΑΠΑΔΑΚΗΣ, ΕΛΑΙΟΥΡΓΕΙΟ, ΕΛΑΙΟΚΟΜΙΚΗ ΠΕΡΙΟΔΟΣ

Κακή ποιότητα λαδιού, υψηλές οξύτητες και μεγάλη μείωση της παραγωγής καταγράφει ο κ. Παπαδάκης, τονίζοντας ότι το γλοιοσπόριο και οι κλιματικές συνθήκες άφησαν...

ΙΕΡΑΠΕΤΡΑ
10:41 π.μ. - 14/11/2025

Ο Γ. Κουγιουμουτζάκης στον Ηχώ 99.8 για το μεταναστευτικό: «Εξετάζουμε όλες τις λύσεις – ο Δήμος δεν μπορεί να μείνει απροετοίμαστος»

ΔΗΜΟΣ ΙΕΡΑΠΕΤΡΑΣ, ΜΕΤΑΝΑΣΤΕΥΤΙΚΟ, ΚΟΥΓΙΟΥΜΟΥΤΖΑΚΗΣ, ΧΩΡΟΙ ΦΙΛΟΞΕΝΙΑΣ

Αναζήτηση κατάλληλου χώρου για προσωρινή φιλοξενία, οικονομική πίεση στον Δήμο, έντονη ανησυχία για την επάρκεια θαλάσσιας επιτήρησης και αίτημα ενίσχυσης του Λ...

ΙΕΡΑΠΕΤΡΑ
07:51 π.μ. - 14/11/2025

Shein & Temu: Εγκρίθηκε η επιβολή δασμών από την ΕΕ - Ποια είναι η θέση της Ελλάδας

Εγκρίθηκε χθες (13/11) από τους υπουργούς Οικονομικών της Ευρωπαϊκής Ένωσης, η κατάργηση της απαλλαγής από δασμούς των δεμάτων που εισάγονται στην Ευρώπη, αξίας...

Ο ΣΤΑΘΜΟΣ
  • Ηχώ FM 99.8
  • Αρχείο ειδήσεων
  • Πρόγραμμα
SOCIAL MEDIA
  • ΟΡΟΙ ΧΡΗΣΗΣ
  • ΠΟΛΙΤΙΚΗ ΑΠΟΡΡΗΤΟΥ
  • DESIGN & DEVELOPMENT by Greco.App